LDO 레귤레이터는 여분의 전력을 열로 전환하여 전압을 조정하는 특징을 가지고 있어, 저전력 또는 VIN 대 VOUT 차이가 작은 애플리케이션에 사용이 적합하다. 그러므로 애플리케이션의 성능을 극대화하기 위해서는 적합한 패키지의 알맞는 LDO를 선택해야 한다. 그러나 설계자들은 자신의 애플리케이션이 작은 패키지에 완벽하게 맞는 것은 아닐 수 있기에 딜레마를 겪을 수 있다.
LDO를 선택할 때 가장 중요하게 고려해야 할 것 중 하나는 열 저항(RqJA)이다. 이 사양은 LDO가 특정한 패키지에서 열을 얼마나 효과적으로 소산시킬 수 있는지를 나타낸다. RqJA 값이 높을수록 패키지의 열 전달이 효과적이지 않음을 의미하며, 값이 낮을수록 효과적인 열 전달이 가능함을 뜻한다.
RqJA는 패키지가 작을수록 더 높다. 예를 들어서 TPS732는 패키지에 따라 열 저항 값이 다르다. SOT-23(2.9mm x 1.6mm) 패키지는 열 저항이 205.9°C/W인 반면에, SOT-223(6.5mm x 3.5mm) 패키지는 53.1°C/W이다. 즉, TPS732가 1W의 전력을 소산시키기 위해서 온도는 205.9°C 또는 53.1°C 상승한다는 뜻이다. 이 저항 값은 표 1에서 보는 것과 같이 해당 제품 데이터 시트의 “열 정보” 부분에서 확인할 수 있다.
.jpg)
표 1: 패키지에 따른 열 저항
애플리케이션에 적합한 패키지
LDO의 권장 동작 접합부 온도는 대략 -40°C ~ 125°C이다. 이 사양 역시 표 2에서 보는 것과 같이 해당 데이터시트에서 확인할 수 있다.
.jpg)
표 2: 권장 동작 온도
이 권장 온도는 디바이스가 데이터시트의 “전기전 특성(Electrical Characteristics)” 표에서 표기한 것과 같이 동작했을 때를 말한다. 그러면 공식 1을 사용해서 어느 패키지를 사용해야 적정한 온도로 동작할 수 있는지 계산할 수 있다:
.jpg)
공식 1: 접합부 온도 공식
여기서 TJ는 접합부 온도이고, TA는 주변 온도이며, R θJA는 열 저항(데이터시트), PD는 소산 전력, Iground는 접지 전류이다(데이터시트).
예를 들어, TPS732를 사용하여 250mA로 5.5V를 3V로 조정한다고 했을 때, SOT-23 패키지와 SOT-223 패키지 사용을 비교해 보면 다음과 같다: .jpg)
열 셧다운
154.72°C의 접합부 온도는 권장 온도 사양을 초과할 뿐만 아니라 열 셧다운 온도에 거의 근접한다. 셧다운 온도는 160°C로, 디바이스 접합부 온도가 160°C를 넘으면 디바이스의 내부 열 보호 회로가 작동된다. 이 열 보호 회로는 출력 회로를 정지시켜 디바이스를 식히고 과열로 인한 손상을 방지한다.
그러다 디바이스의 접합부 온도가 대략 140°C 정도로 내려가면 열 보호 회로가 정지되고 출력 회로가 다시 작동된다. 그러므로 주변 온도나 소산 전력을 낮추지 않으면 열 보호 회로의 작동으로 인해서 디바이스가 잠재적으로 켜지거나 꺼질 수 있다. 주변 온도나 소산 전력을 줄일 수 없다면 설계 변경을 통해 적절한 동작을 달성하도록 해야 한다.
한 가지 확실한 해결책은 더 큰 패키지를 사용하여, 권장 온도 이내로 동작할 수 있도록 하는 것이다.
다음은 열을 최소화하기 위한 몇 가지 요령이다.
접지, VIN, VOUT 접촉면 증가
전력이 소산될 때 열 패드를 통해 LDO에서 열이 방출된다. 따라서 PCB 상에서 입력, 출력 및 접지면의 크기를 늘리면 열 저항을 낮출 수 있다. 그림 1에서 보듯이, 접지면은 되도록 크게 하고 다른 회로 트레이스들이 차지하지 않은 PCB 면적의 대부분을 차지한다. 이러한 지침은 많은 부품들로부터의 리턴 전류 때문이며 이들 소자들이 동일한 레퍼런스 전위가 되도록 하기 위해서다.
궁극적으로 이러한 접촉면들은 시스템에 해가 될 수 있는 전압 강하를 방지한다. 넓은 면은 또한 히트 싱크 능력을 높이고 트레이스 저항을 최소화시킨다. 구리 트레이스 크기를 늘리고 열 인터페이스를 향상시키면 전도 냉각 효율을 크게 향상시킬 수 있다.
.jpg)
그림 1: SOT-23 패키지의 PCB 레이아웃
다층 PCB를 설계할 때 일반적으로 별도의 레이어를 접지면으로 사용하는 것이 좋다. 그러면 추가 트레이스를 사용하지 않고 구성 요소들을 접지할 수 있다. 구성 요소 리드를 보드 상의 구멍을 통해서 직접 접지면 레이어로 연결할 수 있기 때문이다.
히트싱크 탑재
히트싱크는 RqJA를 낮추지만, 시스템의 크기와 비용을 증가시킨다. 히트싱크를 선택할 때는 베이스 플레이트의 크기가 히트싱크를 탑재하고자 하는 디바이스와 같아야 한다. 그래야 히트싱크 표면으로 열을 골고루 소산시킬 수 있다. 히트싱크 크기가 히트싱크를 탑재하려는 표면과 같지 않으면 열 저항이 높아질 것이다.
물리적인 크기 때문에 SC-70(2mm x 1.25mm)이나 SOT-23(2.9mm x 1.6mm)과 같은 패키지에는 대개 히트싱크를 사용하지 않는다. TO-220(10.16mm x 8.7mm)이나 TO-236(10.16mm x 9.85mm) 같은 패키지에는 히트싱크를 사용할 수 있다. 그림 2는 이들 4개 패키지 사이의 차이를 보여준다.
.jpg)
그림 2: 패키지 차이점
입력 전압과 직렬로 저항을 배치해서 소산 전력의 일부를 공유하도록 할 수 있다. 이는 그림 3에서 볼 수 있다. 이 기법의 목적은 저항을 사용해서 입력 전압을 되도록 가장 낮은 입력 전압으로 낮추는 것이다.
.jpg)
그림 3: 직렬로 저항을 사용한 구성
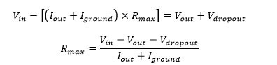
LDO는 적절한 조정을 위해서 포화 영역 내에 머물러야 하므로 원하는 출력 전압에다 전압 강하를 더하여 최소 입력 전압을 구할 수 있다. 공식 2는 이러한 계산을 보여준다.
.jpg)
공식 2: 최대 저항 공식
앞서 보신 것처럼 TPS732를 사용해서 250mA로 5.5V를 3V로 조정한다고 했을 때, 공식 3을 사용해서 최대 저항 값과 소산 가능한 최대 전력을 계산할 수 있다.
.jpg)
공식 3: 최대 소산 전력 공식
저항을 선택할 때는 “소산 전력 정격”을 넘지 않도록 선택한다. 이 정격은 저항이 스스로를 손상시키지 않으면서 얼마나 많은 와트를 열로 바꿀 수 있는지를 나타낸다.
그러므로 VIN = 5.5V, VOUT = 3V, VDROPOUT = 0.15V(데이터 시트), IOUT = 250mA, IGROUND = 0.95mA이면(데이터 시트), 다음과 같다:
PCB 상에서의 배치
PCB 상에서 열을 발생시키는 디바이스가 LDO에 너무 가깝게 있으면 LDO의 온도에 영향을 미칠 수 있다. 이러한 온도 상승을 방지하려면 LDO를 열을 발생시키는 다른 디바이스들로부터 되도록 멀리 떨어지게 배치한다.
맺음말
다양한 방식으로 크기와 비용을 되도록 줄이면서 특정 애플리케이션으로 효율적인 열 솔루션을 달성할 수 있다. 중요한 것은 설계 작업의 초기 단계에 가능한 모든 옵션들을 고려해야 한다는 것이다. 열 관리를 고려해서 적합한 디바이스를 선택하는 것은 결코 쉬운 일은 아니지만 적합한 디바이스와 기법을 선택한다면 좀더 수월하게 설계를 성공적으로 달성 할 수 있을 것이다.
<저작권자(c)스마트앤컴퍼니. 무단전재-재배포금지>















