Since 1959

2026.03.11 (수)
2026.03.11 (수)
[기고] RF 애플리케이션에서 지극히 빠른 전원공급 과도 응답을 달성하는 방법
2022-09-06  글 / 신유 량(Xinyu Liang) AE 매니저, 아나로그디바이스(Analog Devices, Inc.)
이 글에서는 무선 애플리케이션, 특히 RF 애플리케이션에서 극히 빠른 전원공급 과도 응답을 달성하기 위한 방법들을 설명한다. 전원공급 과도 공백 간격(blanking period)으로 인해 신호 처리 효율이 저하되는 것이 시스템 설계 엔지니어에게 과제가 되고 있다. 사일런트 스위처 3(Silent Switcher® 3) 모놀리식 전원 제품을 사용해서 최상의 과도 성능을 달성할 수 있다.



무선 애플리케이션에 사용되는 신호 처리 유닛과 시스템온칩(SoC) 유닛은 부하 과도 프로파일이 동적으로 빠르게 변화한다. 이러한 부하 과도는 전원 전압에 방해를 일으킬 수 있으며, 변동적인 전원 전압으로 인해서 클럭 주파수가 영향을 받을 수 있다.

이에 RF SoC는 부하 과도 시에 공백 간격을 적용한다. 5G 애플리케이션에서 정보 품질은 전이하는 동안의 이 공백 간격과 크게 관련이 있다. 그러므로 RF SoC 시스템에 향상된 시스템 레벨 성능을 달성하기 위해서는 전원장치 상에 부하 과도 응답 영향을 최소화할 필요가 있다. 이 글에서는 RF 애플리케이션에 전원장치를 설계할 때 빠른 과도 응답을 달성하기 위한 방법들을 설명한다.

RF 애플리케이션에서 사일런트 스위처 3 제품을 사용해 빠른 과도 응답 달성

과도 응답이 빠른 전원 레일을 달성하기 위한 가장 간단한 방법은 과도 응답이 빠른 레귤레이터를 선택하는 것이다. ADI의 사일런트 스위처 3 제품군은 극히 낮은 주파수 출력 잡음, 빠른 과도 응답, 낮은 EMI 방사, 높은 효율을 특징으로 한다.

이 제품은 초고성능 오차 증폭기를 채택함으로써 공격적인 보정으로도 뛰어난 안정성을 달성한다. 최대 4MHz의 스위칭 주파수는 고정 주파수 피크 전류 제어 모드에서 제어 루프 대역폭을 100kHz 중반대로 늘린다. 표 1에서는 빠른 과도 성능을 달성하고자 할 때 적합한 사일런트 스위처 3 제품들을 보여준다.


그림 1은 5G RF SoC 용으로 LT8625SP를 채택한 통상적인 1V 출력 전원공급장치를 보여준다. 이 애플리케이션은 빠른 과도 응답과 낮은 리플/잡음을 둘 다 중요하게 요구한다. 1V 부하로는 송신/수신 회로와 로컬 오실레이터(LO) 및 전압 제어 오실레이터(VCO)가 있다. 송신/수신 회로 부하는 FDD(frequency division duplex) 동작으로 부하 전류가 빠르게 변화된다.

LO/VCO는 일정한 부하이면서 높은 정확도와 낮은 잡음을 필요로 한다. LT8625SP의 높은 대역폭을 통해 설계 엔지니어는 이차 인덕터(L2)를 사용해서 동적 부하와 정적 부하를 분할함으로써 단일 IC로부터 2개의 중요도 높은 1V 부하 그룹을 구동할 수 있다.
 

그림 2는 4A에서 6A로 변화되는 동적 부하 과도를 나타내는 출력 전압 응답을 보여준다. 이 동적 부하는 0.8% 이하의 피크-대-피크 전압으로 5μs 이내에 정상으로 회복하며, 0.1% 이하의 피크-대-피크 전압으로 정적 부하 측으로 최소한의 영향만을 미친다.

이 회로를 0.8V와 1.8V 같은 다른 출력 조합을 지원하도록 수정할 수 있다. 저주파수 대역에서 극히 낮은 잡음, 낮은 전압 리플, 극히 빠른 과도 응답으로 인해 LDO 레귤레이터 스테이지 없이도 RF SoC 부하들을 직접 구동할 수 있다.


TDD(time division duplex) 모드에서는 잡음에 민감한 LO/VCO가 송신/수신 모드의 변화에 따라서 부하가 실행된다. 따라서 모든 부하를 동적 부하로 간주하고 그림 3에서와 같이 좀더 단순화된 회로를 사용할 수 있으며, LO/VCO로 낮은 리플과 낮은 잡음을 유지하기 위해서 포스트 필터링이 필요하다. 3단자 커패시터를 피드쓰루 모드로 사용해서, 부하 과도에 빠른 대역폭을 유지하는 최소한의 등가 L로 충분한 포스트 필터링을 달성할 수 있다.

이 피드쓰루 커패시터가 출력 커패시터들과 함께 2개의 추가적인 LC 필터 스테이지를 형성하고, 모든 L이 3단자 커패시터의 ESL로부터 비롯되므로 부하 과도에 덜 방해가 된다. 그림 3에서는 사일런트 스위처 3 제품을 사용할 때 원격 검출 배선을 손쉽게 할 수 있다는 것을 알 수 있다. 고유의 레퍼런스 생성과 피드백 기술에 의해서 SET 핀 커패시터(C1) 접지와 OUTS 핀을 설계자가 원하는 원격 피드백 지점으로 켈빈 접속하기만 하면 된다. 이 연결을 위한 레벨 시프팅 회로는 필요치 않다.
 
그림 4는 1A 부하 과도 응답 파형을 보여준다. 회복 시간은 5μs 이하이며 출력 전압 리플은 1mV 이하이라는 것을 알 수 있다.

예비충전 신호로 사일런트 스위처 3를 구동하여 빠른 과도 응답 달성

경우에 따라서는 신호 처리 유닛이 성능이 강력하고 충분한 GPIO를 갖춤으로써 신호 처리를 적절히 스케쥴링하고 과도 이벤트를 사전에 잘 계획할 수 있다. FPGA 전원장치 설계에서 흔히 이렇게 한다. 이러한 경우에 예비충전(precharge) 신호를 사용해서 전원 과도 응답을 향상시킬 수 있다.


그림 5는 이러한 애플리케이션 회로의 예시로서, FPGA가 예비충전 신호를 생성해서 실제 부하 전이에 앞서 바이어스를 제공함으로써 LT8625SP가 부하 외란(disturbance)을 수용할 수 있는 시간을 벌도록 하고 VOUT 변동이나 회복 시간이 과도하지 않게 한다.

예비충전 신호가 피드백 상에서 외란으로 작용하기 때문에 FPGA의 GPIO에서 인버터 입력까지의 튜닝 회로는 생략했다. 전압 레벨은 35mV로 제어하고 있다. 예비충전 신호가 정상 상태(steady state)에 영향을 미치지 않도록 예비충전 신호와 OUTS 사이에 고역통과 필터를 구현했다.
 
그림 6은 1.7A에서 4.2A로의 부하 과도 응답 파형을 보여준다. 실제 부하 과도에 앞서 피드백(OUTS)에 예비충전 신호를 적용함으로써 5μs이하의 회복 시간을 달성하고 있다.

회로에 능동 드루핑을 사용해서 극히 빠른 회복 시간 달성

빔포머 애플리케이션의 경우, 서로 다른 전력 수준을 수용하기 위해 전원 전압이 계속해서 변화한다. 그 결과, 전원 전압에 대한 정확도 요구가 보통 5%~10% 대이다. 그런데 이 애플리케이션에서는 전압 정확도보다 안정성이 더 중요하다. 부하 과도 시에 회복 시간을 최소화함으로써 데이터 처리 효율을 극대화할 수 있기 때문이다. 이러한 애플리케이션에 꼭 맞는 것이 드루핑 회로(drooping circuit)이다. 드루핑 전압은 회복 시간을 줄이거나, 더 나아가 아예 제거할 수 있기 때문이다.



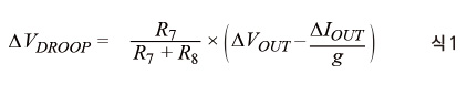
그림 7은 LT8627SP에 능동 드루핑 회로를 적용한 회로를 예시한 것이다. 오차 증폭기 마이너스 입력(OUTS)과 출력(VC) 사이에 드루핑 저항을 추가함으로써 과도 응답 기간 동안 피드백 제어 루프에서 정상 상태 오차를 유지한다. 드루핑 전압은 다음과 같이 나타낼 수 있다.

이 공식에서 ΔVOUT은 부하 과도로 인한 전압 변동이고, ΔIOUT은 부하 과도 전류이며, g는 VC 핀 대 스위치 전류 이득이다. 그림 7과 같은 드루핑 회로를 설계할 때는 다음과 같은 점에 주의를 기울여야 한다.

- 드루핑 전류가 VC 핀 전류 한계를 넘지 않도록 해야 한다. LT8627SP의 오차 증폭기 출력의 경우, 포화를 방지하기 위해서 이 전류를 200μA 아래로 제한하는 것이 바람직한데, 이것은 R7과 R8 값을 조절하는 것으로서 할 수 있다.
- 드루핑 전압이 출력 커패시턴스를 수용할 수 있어야 한다. 그럼으로써 과도 응답 동안 전압 변동이 드루핑 전압과 같은 수준이 되고 회복 시간을 최소화할수 있다.
 
그림 8은 위의 회로로 1A에서 16A에서, 그리고 다시 1A로 변화하는 부하 과도 시의 파형을 보여준다. 한 가지 주목할 점은, 16A에서 1A로 변화할 때 부하 과도 속도가 더 이상 대역폭 때문에 제한되지 않고 레귤레이터의 최소 온(on) 시간에 의해서 제한된다는 것이다.

맺음말

무선 RF 분야는 점점 더 연산 의존적이 되고 있고, 시간이 관건인 고속 신호 처리의 본질적 특성 상 과도 응답 시간에 민감해지고 있다. 이에 따라 전원공급장치의 과도 응답 속도를 높이고 공백 시간을 최소화하는 것이 시스템 설계 엔지니어의 중요한 과제가 되었다. ADI의 사일런트 스위처 3 제품군은 차세대 모놀리식 레귤레이터 제품으로서 무선, 산업용, 방위산업, 헬스케어 분야의 잡음에 민감하고 동적으로 부하과도가 빠르게 변화하는 솔루션에 사용하기에 적합하다. 부하 조건에 따라서 특수한 회로 기법들을 적용해서 과도 응답을 향상시킬 수 있다.


저자 소개

신유 량(Xinyu Liang)은 아나로그디바이스(Analog Devices)의 산업용 및 멀티마켓 그룹 전원 제품 애플리케이션 엔지니어링 매니저이다. 2018년에 노스캐롤라이나 주립대학에서 전기공학 박사학위를 취득했으며 2019년에 ADI에서 경력을 시작했다.
 

<저작권자(c)스마트앤컴퍼니. 무단전재-재배포금지>

본 기사의 전문은 PDF문서로 제공합니다. (로그인필요)
다운로드한 PDF문서를 웹사이트, 카페, 블로그등을 통해 재배포하는 것을 금합니다. (비상업적 용도 포함)
100자평 쓰기